|
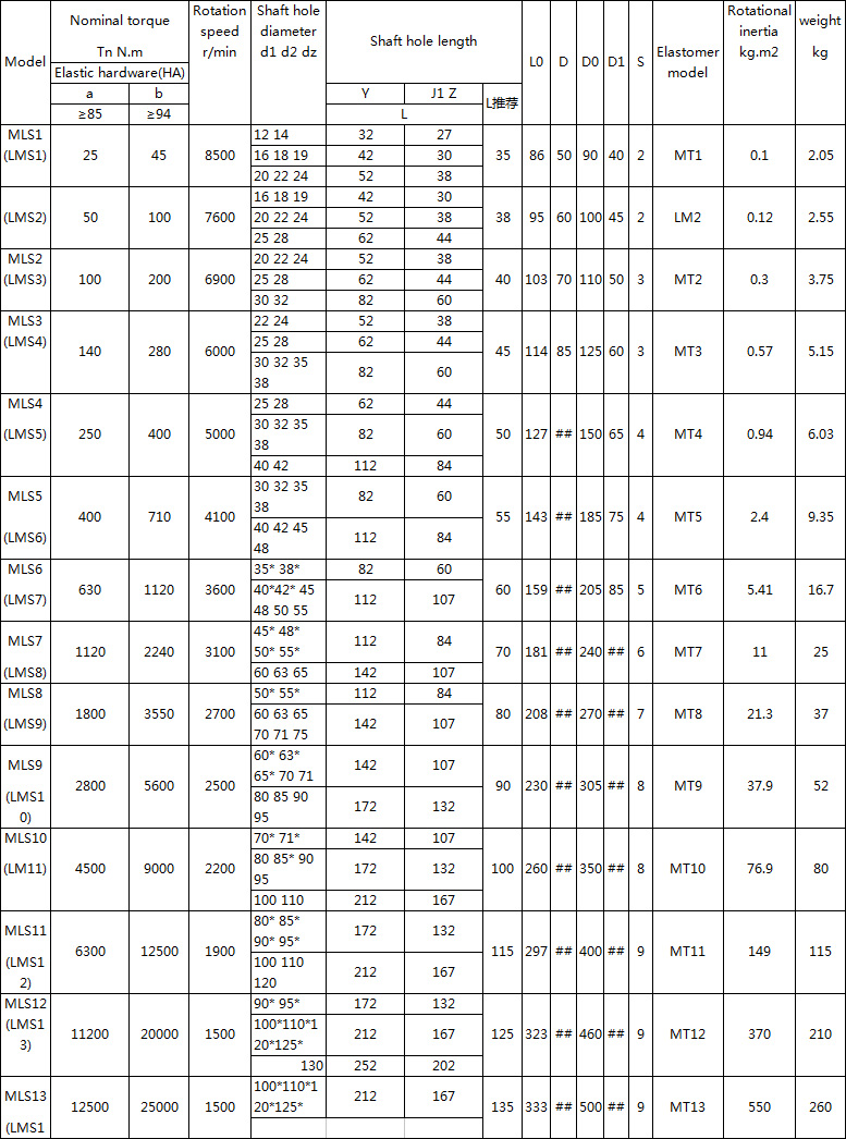
MLS (LMS) plum elastic coupling features and applications: with compensation for the relative offset of the two axes, vibration damping, cushioning performance, small radial size, simple structure, no lubrication, high bearing capacity, maintenance, replacement flexibility The components need to move axially (except MLS type), which is suitable for connecting coaxial lines, frequent starting, positive and negative rotation changes, medium and medium torque transmission shafting and working parts with high reliability. It is not suitable for heavy-duty, low-speed and axial dimensions. It is difficult to replace the two components after the elastic components are replaced.
ML type - basic type;
MLL-II type--separate brake wheel type;
MLL-I type - integral brake wheel type;
MLZ type - single flange;
MLS type - double flange;
![]() ![]() |



