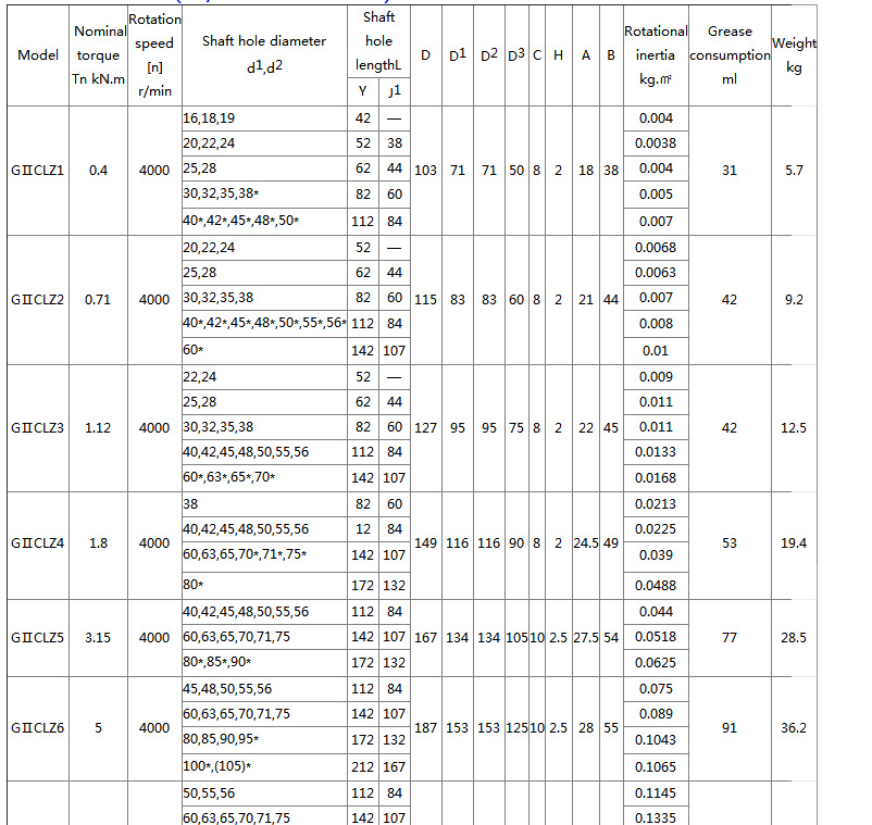
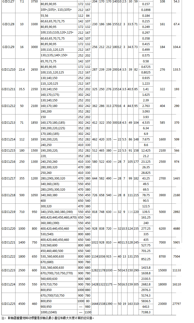
|
Features and applications: With a small amount of axis offset compensation performance, can not buffer, reduce vibration. The outer shape is small, theoretically, the transmission torque is large, and it needs lubrication and sealing, but the noise is large and the price is expensive, and it is used for connecting the horizontal two coaxial line shaft transmission. It is used to connect two horizontal coaxial lines under low speed and heavy load conditions, such as metallurgical machinery and heavy machinery. It is not suitable for high-speed, high-precision shafting transmission. It is not suitable to use frequent starting and reverse rotation. GICL type - basic type (wide type); GIICL type - basic type (narrow type); GICLZ type - intermediate shaft type (wide type); GIICLZ type - intermediate shaft type (narrow type); GICL, GIICL type, for direct connection between two shaft ends; GICLZ, GILZ type, for two-axis long-distance connection; GCLD type--motor shaft extension type, used for motor shaft extension connection; ![]() ![]() ![]() |




